ישבן לבנבן – איך לשמור עליו?
משחת החתלה היא אחד המוצרים הכי פופולריים בקרב הורים לתינוקות. יש אחת בתיק, אחת בסלון, אחת באמבטיה ועוד אחת אצל הסבתא. גם פה, פערי המחירים גדולים ועם קצת עזרה מאיתנו תדעו איפה אפשר לחסוך


החל מהרגע שהתינוק מגיע, אחד המשפטים שכל זוג הורים טריים מוצא את עצמו אומר הכי הרבה, זה - "מאמי, איפה המשחה?"
עבור הורים טריים, משחת ההחתלה הופכת בין רגע לאחד הפריטים השימושיים ביותר שצריך תמיד לדאוג שתהיה בסביבה. לגבי תדירות השימוש ושיטת המריחה, ההוראות הן חד משמעיות: מורחים כשמופיעה אדמומיות. אצל בנים כיוון המריחה לא חשוב ואצל בנות צריך לסיים בישבן.
לגבי סוג המשחה ומרכיביה יש מגוון רחב של תאוריות, המלצות ותפיסות, ובהתאם לכך גם מגוון של משחות החתלה על המדפים, כשלכל אחת המאפיין הייחודי שלה. למשל, למאמי קייר יש משחת קלנדולה המתהדרת בכך שעשויה 100% רכיבים טבעיים כמו פרח הקלנדולה (ציפורן החתול) הידוע כמועיל בטיפול ומניעת תפרחת חיתולים, וקמיל בלו סנסיטיב כוללת רכיב מיוחד היוצר שכבת הגנה המונעת מגע בין העור לחיתול הרטוב ולהפרשות.
את הבחירה לגבי סוג המשחה המתאימה לכם רק אתם תוכלו לבצע, או יותר נכון הקטנטן והתגובה הייחודית של העור שלו למשחה. אולם, ברגע שהתפקסנו על המשחה המתאימה נכנס לתהליך הקניה שיקול נוסף והוא המחיר. מסתבר שגם בקטגוריה הזו, ניתן לקבל את אותו המוצר בדיוק במחיר הרבה יותר זול, אם רק מקפידים לקנות אותו במקום הנכון.
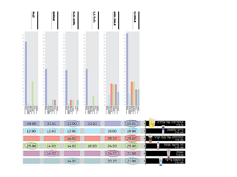
כדי להבין את פערי המחירים, ערכנו השוואה בין ארבע הרשתות הגדולות למוצרי תינוקות ושתי רשתות הפארם. הבדיקה שערכנו התרכזה בסניפים באזור המרכז - רמת גן, בני ברק ותל אביב. בדקנו שישה סוגים של משחות החתלה מהמותגים הפופולריים שהיו נגישים ביותר בסניפים הנבדקים. הבדיקה נערכה באמצע חודש ינואר והקפדנו שלא להתייחס למחירי מבצעים העלולים לחלוף אלא למחירים הקבועים שצויינו עבר כל מוצר. בנוסף גם לא התייחסנו למבצעי 1+1 וזאת בכדי להשוות את המחיר עבור מי שמעוניין לקנות יחידה אחת של המוצר.
התוצאות בטבלה מראות שניתן לחסוך והרבה. המגמה הבולטת ביותר שמראה הטבלה היא שלגבי רוב מוצרים שבדקנו, רשתות הפארם יקרות יותר מהרשתות הייעודיות למוצרי תינוקות - כל המחירים הגבוהים ביותר של המוצרים שבדקנו נמצאים בעמודות של הסופר פארם וניו פארם. מאידך, הרשת שהציגה את המחירים הנמוכים לכל המוצרים שבדקנו והיו ברשותה היא רשת בייבי סטאר. הפערים בין המחיר הגבוה לנמוך הם עצומים. הפער הגבוה ביותר הוא במחיר של משחת של מאמי קייר, ומי שבדרך כלל קונה אותה בניו פארם יוכל להשיג אותה ב-9 ₪ פחות ברשת בייבי סטאר (כ-43% פחות), כך גם לגבי ד"ר פישר סנסטיב, שקיבלה פער מחירים דומה בין הנמוך לגבוה.
המסקנה היא, שלפני שאתם שולפים את כרטיס האשראי, שימו לב שסקר שוק זריז ועדכני יחסוך לכם כמה שקלים בקניה הבודדת ומאות ואולי אלפי שקלים בסך הקניות לאורך זמן.




