כחול לבן: אינטל השיקה את מעבדי הדור התשיעי שפותחו בישראל
ענקית השבבים האמריקאית הציגה אמש (ב') את הדור התשיעי של מעבדי החברה שאמורים להציג שיפור משמעותי בביצועים, וביניהם גם מעבד עם 28 ליבות. הנה כל מה שצריך לדעת

חיפה על המפה. אחרי חודשים ארוכים של שמועות והדלפות אינטל חשפה אמש (שני) לעולם את הדור התשיעי של משפחת מעבדי Intel Core. סדרת המעבדים החדשה של החברה, שכאמור מורכבת ממעבדי Core i7 ,Core i5 ו- Core i9, מבטיחה להציג שיפור ניכר בביצועים ולתת מענה לדרישות העולות והגוברות של עולם הגיימינג. כרגיל, כשמבדרים על אינל קשה שלא להתייחס לזוית הישראלית, ובכן בחברה מספרים כי המעבדים החדשים פותחו בהובלת צוותים ממרכז הפיתוח של החברה בחיפה, עוד ביטוי לאמון ולמערכת היחסים החמה שיש לתאגיד העצום עם המרכז המקומי שלו.
אז מה בעצם היה לנו אמש? ובכן, החברה השיקה שלושה מעבדים מסדרת K :Intel Core i5-9600K ו-Intel Core i7-9700K וגם את ה Core i9-9900K שבחברה מכנים כמעבד הגיימינג הטוב בעולם.

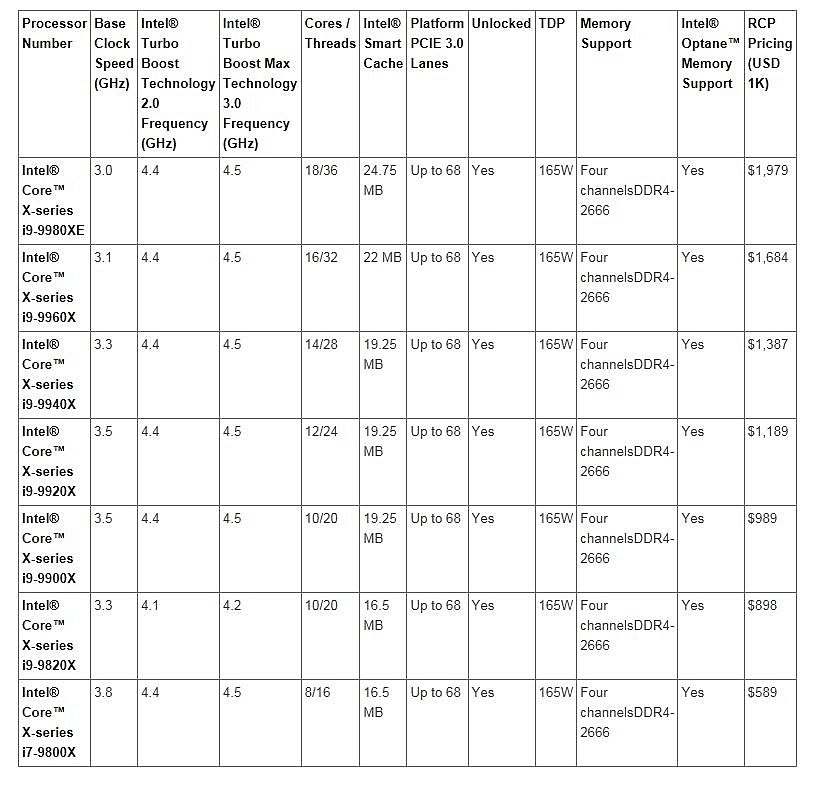
אבל התואר הזה, מבטיחים באינטל, יישבר לקראת סוף השנה עם סדרת מעבדים חדשה שהוצגה אף היא בערב החגיגי. מדובר בלא פחות משבעה מעבדים חדשים ממשפחת ה-X (Intel Core X-series) לדסקטופ שיהיו זמינים ברבעון הרביעי השנה:

אז מה חדש בסדרה התשיעית של אינטל? ובכן בחברה מסבירים כי "המעבדים החדשים כוללים עד 8 ליבות, 16 נימים ואת יישום Intel Turbo Boost 2.0 המאפשר העלאת התדר עד 5.0 GHz ". המשמעות היא שגיימרים יכולים לשחק במשחקים הפופולריים כיום וליהנות מ-11% יותר פריימים לשנייה (FPS) בהשוואה למעבד מהדור הקודם ועד 45% יותר FPS בהשוואה למחשב אישי בן שלוש שנים.
עובדה חשוב שצריך לדעת היא שבניגוד לשנים עברו, החברה בחרה לא להשתמש בטכנולוגיית ריבוי הנימים (Hyper-threading) שלה בכל סדרת המעבדים אלא רק במעבדים היקרים יותר -אלו המשתייכם למשפחת מעבדי ה-Core i9. בעבר טענו בחברה שהטכנולוגיה הזו מאפשרת להם להגדיל את תפוקת המעבדים בעשרות אחוזים, כך שיתכן ומדובר בשורות פחות טובות עבור מי שידו אינו משיגה מעבדים חזקים יותר.
שבעת המעבדים החדשים הנוספים שהוצגו, אלו שיושקו כאמור לקראת סוף השנה הבאה מיועדים בעיקר למי שחפצים בביצועים חריגים - בדגש על אנשי מקוצע, גרפיקה וכן -גם גיימרים. אלו מגיעים במספר משתנה של ליבות ויכולות קלט/פלט - עד 18 ליבות, 36 נימים , מטמון של 24.75 מגהבייט ו-68 אפיקי PCIe. המעבדים הללו מאפשרים ליוצרי תוכן להקליט, לקודד, לערוך, ולבצע רנדרינג וטרנסקודינג במהירות ובאופן סימולטני. הם בנויים על ארכיטקטורת Mesh המגדילה את הזיכרון ואת רוחב הפס של ה-I/O תוך הקטנת השיהוי - צורך קריטי בעומסי העבודה התובעניים של יוצרי תוכן ואנשי מקצוע מתחום העיצוב למשל.
כדי לממש את מלוא הפוטנציאל של המעבדים החדשים, אינטל משיקה גם את ערכת השבבים החדשה Z390. לוחות אם המבוססים על ערכת שבבים זאת יאפשרו העברת חשמל משופרת לטיוב הביצועים של מעבדי שמונה ליבות ואוברקלוקינג נוסף. הערכה כוללת USB 3.1 Gen 2 ו-Wireless-AC משולבים עם תמיכה במהירויות של Wi-Fi מהיר. המעבדים גם תואמים ללוחות אם עם ערכת שבבים Intel 300 ולזיכרון Intel Optane ובכך מגדילים את מגוון האפשרויות לצרכנים.
עוד מעבד מסקרן שהוכרז הוא מעבד Xeon W-3175X, שיגיע מצוייד בלא פחות מ- 28 ליבות ואשר יושק בדצמבר ומיועד לשימוש בתחנות עבודה.
באירוע ההשקה בניו יורק התייחסה אינטל גם לנושא זמינות השבבים שעלה לאחרונה ומסרה: "הביקוש מצד הלקוחות ממשיך להשתפר במהלך השנה ומחזק את הצמיחה בכל המגזרים שבהם אינטל פועלת. כתוצאה מכך, העלינו את תחזית ההכנסות שלנו ב-4.5 מיליארד דולר בהשוואה לתחזית שמסרנו בינואר. אנו מייצרים כמויות מספקות כדי לעמוד בתחזית ההכנסות השנתית שעליה הכרזנו ופועלים יחד עם לקוחותינו ומפעלינו להגדלת הייצור".



